黑磷是一种与石墨类似的层状材料,磷原子在平面内通过共价键结合,层间通过范德瓦尔斯相互作用耦合在一起。复旦大学张远波教授和中科大陈仙辉教授的实验组与普渡大学叶培德教授实验组同时独立通过机械剥离方法,可以得到原子级厚度的黑磷薄膜并制备出场效应管原型器件。相比于石墨烯和单层过渡金属族硫化物,黑磷薄膜有如下三大特征:(1)具有半导体的有限带隙,且可通过改变层厚、应变和掺杂浓度在 0.3-2.0 eV范围内进行调控,利用此特点制造高开/关比(105)的晶体管和低耗高性能的逻辑电路,实现不同波段(中红外、近红外)的探测器和调制器;(2)高迁移率,黒磷迁移率高达~1000 cm2V-1S-1,充分满足器件高速的要求;(3)强烈的能带各向异性。这些独特的能带特性,尤其是较大能隙变化范围,为构造宽光谱光电器件提供了新的实验体系,因而引起国际同行的广泛兴趣。
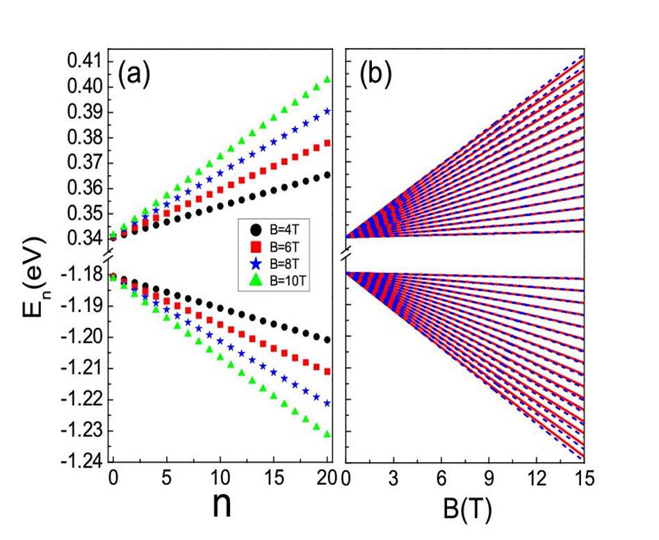
半导体所超晶格国家重点实验室博士生周小英、娄文凯副研究员和常凯研究员从理论上研究了单层黑磷的朗道能级和磁输运性质,给出了与数值结果吻合的朗道能级的解析表达式。由于单层黑磷能带的各向异性,其朗道能级对应的波函数也是空间各向异性的。作者还计算了纵向磁阻和整数霍尔电阻平台随磁场的变化关系。文章发表在Scientific Reports 5, 12295 (2015)。

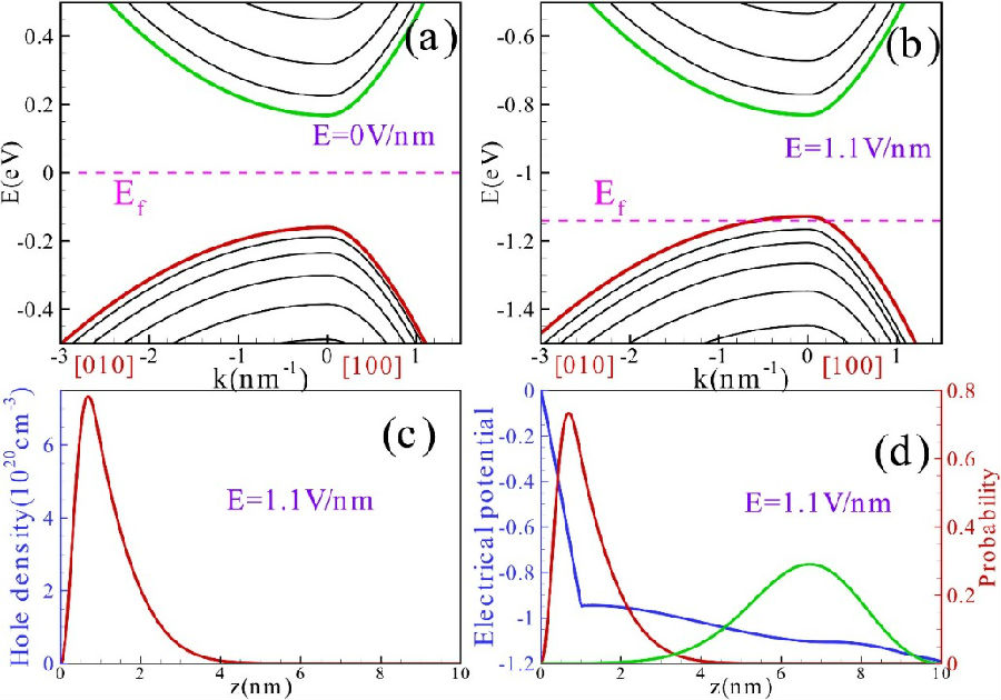
近来复旦大学张远波教授和中科大陈仙辉教授等实验组合作,在黑磷薄膜中观察到了整数量子霍尔效应。实验中除了发现整数量子霍尔平台外,还发现黑磷薄膜的g因子接近于2。电子的g因子决定了电子在磁场下的自旋劈裂,在半导体自旋电子学中有十分重要的作用。在常规半导体中,能带对电子的g因子有显著的影响,会导致能带中电子g因子对真空电子g=2因子的显著偏离。在HgTe (InSb)等窄能隙的半导体材料中,由于强烈的自旋轨道耦合,其g因子偏离尤为显著(gHgTe=-30,gInSb=-50)。在黑磷薄膜中观察到电子g因子接近2是个十分有趣和难解的现象。
为配合理解实验结果,常凯理论组考虑库仑互作用,自洽地计算了黑磷薄膜的电子结构和自旋劈裂,发现黑磷薄膜中g因子接近于2主要源于两方面的原因,一方面是磷原子较轻,自旋轨道耦合较弱,引起的自旋劈裂很小;另一方面在于重掺杂的样品中存在很强的内建电场使得电子和空穴空间分离,导致带间耦合极弱,从而对g因子修正极小。因此黑磷薄膜中的电子g因子接近于真空中裸电子的g因子。考虑到多体效应对g因子的影响,发现朗道能级填充数是奇(偶)数时,对g因子修正最大(小)。我们的理论计算帮助理解了实验观测结果。文章发表在Nature Nanotechnology (doi:10.1038/nnano.2016.42)上,常凯研究组承担了其中理论分析和计算部分的工作。


文章链接:
http://www.nature.com/articles/srep12295
http://www.nature.com/nnano/journal/vaop/ncurrent/full/nnano.2016.42.html
