综述文章
1.
面向数据中心内部应用的硅基光电转换模块
PSM技术通过增加互连通道数量来增加互连总带宽。日本光电子技术研究协会的Tsuyoshi Aoki实现了高密度宽带16通道×25 Gb/s的硅基高速收发模块,且通道串扰损失低于0.1 dB。

图. AIO Core公司推出的I/O Core可以连接各种光电组件,形成多样化定制的光收发器。
WDM技术是另一种短距离互连方案,它只需要两根光纤进行传输但需要多个不同波长的激光器。而使用片外光频梳锁模激光器则可以实现一个激光器发出多个频率的激光从而分别进行调制,再通过(解)波分复用器耦合进一根光纤进行传输。
上述互连方案中,每个通道都是使用NRZ调制格式,其振幅只能携带一位信号,PAM-4的振幅则可以携带两位信号,其眼图更加复杂难以分辨,因此需要更精确的数字信号处理系统(DSP)与前部纠错系统(FEC)。
一种新型硅光子发射器已在干涉仪拓扑中使用了二进制驱动的GeSi电吸收调制器(EAM)。干涉仪中两个具有90°相位差的强度调制器,其中LSB / MSB编码是通过33 : 66功率比实现的。使用矢量图对PAM-4振幅光学操作进行详细说明。该发射器实现了128 Gb/s的PAM-4传输且不需要DSP,减少了功耗。
相干光通信技术可以将信息加载到光的不同特性上,如偏振、相位等,这使得单根光纤可以最大可能地加载更多信息。Acacia公司实现了硅基100 Gb/s相干光传输且功耗只有4.5 W。阿里巴巴研究人员则表明应用于数据中心的400 G模块中,相干光技术的ASIC功耗略高于PAM-4的ASIC功耗但是低于IMDD系统的ASIC功耗。因此在400 G及其以上的收发器模块中,相干光通讯具有很大的潜力。
PAM-4和相干光通信等高级的调制格式由于能在单通道单波特下传输多个信号,因此只要性能和成本能够得到优化,将来它们就将越来越多地出现在400 G和1 TB收发器模块中。
Silicon photonic transceivers for application in data centers
Haomiao Wang, Hongyu Chai, Zunren Lv, Zhongkai Zhang, Lei Meng, Xiaoguang Yang, Tao Yang
J. Semicond. 2020, 41(10): 101301
doi: 10.1088/1674-4926/41/10/101301
研究论文
1.
通过复杂系统理论研究金属-半导体接触的电物理特性
阿塞拜疆巴库国立大学L. K. Abdullayeva教授等旨在复杂系统理论的框架内分析金属-半导体接触(MSC)的电学性能。考虑肖特基二极管(SD)并联连接大量子二极管,研究了不同微结构(多晶、单晶、非晶金属-半导体接触表面)的不均匀性的影响。已经表明,金属的多晶性将均匀的接触转变成复杂系统,该复杂系统由并联连接的许多具有不同特性和参数的基本接触组成。

图1. 多晶金属表面的微观结构。
Study of electrophysical properties of metal–semiconductor contact by the theory of complex systems
Sh. G. Askerov, L. K. Abdullayeva, M. G. Hasanov
J. Semicond. 2020, 41(10): 102101
doi: 10.1088/1674-4926/41/10/102101
2.
第一性原理 MBJ + U方法研究β-CuGaO2的电子结构和光伏性能
氧化物半导体通常具有较大的带隙,可广泛用于紫外区的薄膜晶体管,发光二极管或透明电极等。大多数氧化物半导体不适合用于太阳能电池和光催化,因为它们几乎对可见光透明。β-CuGaO2是一种带隙为1.47 eV的直接带隙材料,对制备新型光伏器件非常有利。但是目前先进的杂化泛函和GW等的方法计算的β-CuGaO2带隙和电子结构并没有很好的吻合实验,而且计算量也较大。β-CuGaO2作为潜在的理想太阳能光伏电池的性能也不是很明确。
广东石油化工学院罗国平博士和陈星源博士课题组基于修正的Becke-Johnson势和Cu元素库仑作用(MBJ + U)方法计算了β-CuGaO2的能带和电子结构,在降低了计算成本的同时还可以较准确的计算β-CuGaO2带隙和电子结构。运用Spectroscopic limited maximum efficiency (SLME) 方法计算了β-CuGaO2太阳能电池的SLME转换效率随膜厚的变化曲线,发现β-CuGaO2太阳能电池的短路电流较大和光电效率可达32.4%。
这对发展高光电转换效率的β-CuGaO2太阳能电池和氧化物太阳能电池有一定的参考意义。

图1. 理想β-CuGaO2太阳能电池SLME效率随薄膜厚度的关系曲线。
First principles study of the electronic structure and photovoltaic properties of β-CuGaO2 with MBJ + U approach
Guoping Luo, Yingmei Bian, Ruifeng Wu, Guoxia Lai, Xiangfu Xu, Weiwei Zhang, Xingyuan Chen
J. Semicond. 2020, 41(10): 102102
doi: 10.1088/1674-4926/41/10/102102
3.
基于肖特基二极管的水热法生长纳米花ZnO薄膜
伊拉克Mustansiriyah University的Ghusoon M. Ali教授等报道了基于纳米棒ZnO薄膜的平面肖特基二极管。通过水热技术在掺硼的p型Si(100)衬底上制备了纳米棒ZnO薄膜。Ag//ZnO/Al平面二极管的工作偏压范围为–3至3 V。I-V特性清楚地表明该器件具有整流特性。热电子发射理论控制着通过肖特基二极管的电流。该二极管的开启电压为0.9 V,势垒高度为0.69 eV,饱和电流为1.2×10–6 A。该二极管显示出非常高的理想因子(n>>2),这归因于高的界面陷阱浓度。通过扫描电子显微镜(SEM)研究了表面拓扑。通过X射线衍射(XRD)表征了纳米结构ZnO薄膜的结构性能。SEM图像表明,ZnO纳米棒垂直于衬底均匀且高密度地生长。XRD图谱显示了在(002)处出现的主峰。这个强峰表明纤锌矿型ZnO结构的c轴取向相。它表明晶体垂直于衬底表面均匀生长,这与SEM图像非常吻合。

图1. 水热法制备纳米ZnO薄膜的扫描电镜图像。(a)单个纳米花。(b)多个纳米花。
Ghusoon M. Ali, Ahmed K. Khalid, Salah M. Swadi
J. Semicond. 2020, 41(10): 102103
doi: 10.1088/1674-4926/41/10/102103
4.
Au80Sn合金焊料的微观结构对TO56封装的GaN基激光器热阻的影响
GaN基激光器的广泛应用,很大程度上取决于其尺寸和功率。更小的尺寸和更高的功率,必定是其拓展应用市场的重要优势。功率更高的同时,产生了大量的焦耳热,而尺寸更小的激光器芯片又造成更大的功率密度,产生更严重的热积聚。热积聚一方面降低了激光器本身的可靠性,一方面又降低了激光器的光电转换效率。因此,具有更好的封装散热结构,是提高激光器性能的重要途径。
热沉是激光器向外部环境散热的大门,而焊料是连接激光器芯片与热沉的通道。焊料热阻的大小很大程度上决定了激光器整个散热系统的好坏。Au80Sn20合金是一种热学、电学性能优异的焊料,广泛应用于半导体器件封装工艺。
中国科学院苏州纳米技术与纳米仿生研究所刘建平研究员等基于正向电压法测量材料瞬时温变,对TO56封装方式封装的激光器热阻进行了测量。运用两种不同焊接工艺的激光器表现出不同热阻。同时,利用扫描电子显微镜和能量色散X射线谱对激光器焊料层的微观结构进行了分析。


图1. E09、Y00样品的Au80Sn20-1焊料层的时间分辨电压变化曲线。
通过分析焊料的微观结构,解释了焊料热阻差异的原因。分析发现,焊料中富Au相的含量增加,以及焊料与过渡热沉界面位置(Au,Ni)Sn相含量的减少,有益于焊料热阻的改善。这个发现,对封装工艺中解决热阻过大问题起到了很大的帮助。
Hao Lin, Deyao Li, Liqun Zhang, Pengyan Wen, Shuming Zhang, Jianping Liu, Hui Yang
J. Semicond. 2020, 41(10): 102104
doi: 10.1088/1674-4926/41/10/102104
5.
具有新型安全特性的浮栅晶体管的设计、建模和仿真
美国佐治亚南方大学物理系H. Zandipour教授等提出了一种具有新型内置安全功能的新一代浮栅晶体管(FGT)。该新型器件可以用于保护IC芯片不使用目前的逆向工程技术(包括扫描电容显微镜(SCM))。即使是对于浮栅上纳米级的微小量的电荷,SCM也可以测量器件C–V特性的变化。所提出的设计在常规FGT基础上仅增加一个简单的处理步骤,即在衬底上增加反向掺杂的注入层。首先对这种新结构进行了理论分析,然后提取二维模型以表示其C–V特性。该模型已通过仿真得到验证。另外,比较了与传统设计和新型设计的FGT的SCM测量相关的C–V特性,以讨论添加层在掩盖晶体管状态方面的有效性。还研究了注入层掺杂浓度的变化对C–V特性的影响。最后,通过比较其与常规FGT的I–V特性,从而检验了所提出设计的可行性。

图1. 在施加在其栅极上的小负电压的影响下的MOPNS。
Design, modelling, and simulation of a floating gate transistor with a novel security feature
H. Zandipour, M. Madani
J. Semicond. 2020, 41(10): 102105
doi: 10.1088/1674-4926/41/10/102105
6.
基于插指状PPD的CMOS有源像素设计
随着成像领域的不断发展,CMOS图像传感器(CMOS Image Sensors, CISs)作为记录图像信息的关键技术受到了广泛的关注。早期,由于工艺水平的限制,CIS由于具有诸如噪声高,灵敏度低和图像滞后严重等问题,而被局限于十分狭窄的应用环境。但随着CMOS技术的不断发展,CISs因功耗低,成本低,易于集成等特点而被广泛应用于各个成像领域,逐渐成为成像领域的主流器件。同时,VR和人脸识别等新兴技术更加严格了对CISs的指标要求。特别是在高端成像领域,宽动态范围已成为当前需要克服的主要困难和挑战。
为了实现宽动态范围CIS设计,本课题基于天津市成像与传感微电子技术重点实验室——天津大学微电子学院徐江涛课题组,设计了一种具有宽动态范围的CISs。本课题主要从钳位光电二极管(Pinned Photodiode, PPD)入手,通过设计如图1(a)所示的插指状的PPD结构和如图1(b)所示的深度方向分布式的离子掺杂来实现对CIS线性动态范围的提高。同时,为了提高TCAD二维仿真结果与测试结果之间的一致性,本课题在仿真过程中引入了SIMS过程校准。

图1. 宽动态范围PPD结构。(a)插指状PPD的三位结构图。(b)PPD的剖面结构图。
Design of CMOS active pixels based on finger-shaped PPD
Feng Li, Ruishuo Wang, Liqiang Han, Jiangtao Xu
J. Semicond. 2020, 41(10): 102301
doi: 10.1088/1674-4926/41/10/102301
7.
多量子阱肖特基二极管参数提取方法的比较研究
阿尔及利亚Centre de Développement des Technologies Avancées的Elyes Garoudja教授等测量了100至300 K的温度范围内多量子阱Al0.33Ga0.67As肖特基二极管的正向电流电压特性。该肖特基二极管的主要参数,例如理想因子、势垒高度、串联电阻和饱和电流,已经使用分析和启发式方法来提取。已经选择了差异进化(DE)、粒子群优化(PSO)和人工蜂群(ABC)作为候选启发式算法,同时选择了Cheung technic作为分析提取方法。获得的结果清楚地表明了DE算法在参数精度、收敛速度和鲁棒性方面都具有良好的性能。

图1. 肖特基二极管参数提取策略。
Elyes Garoudja, Walid Filali, Slimane Oussalah, Noureddine Sengouga, Mohamed Henini
J. Semicond. 2020, 41(10): 102401
doi: 10.1088/1674-4926/41/10/102401
8.
一种阳极具有NPN结构的双槽LIGBT器件
LIGBT器件得益于漂移区内很强的电导调制效应而具有较低的正向导通压降,还能够实现高耐压,被广泛应用。但是体内的大量载流子在关断的时候需要较长的时间才能消失,造成了关断时间过长和关断损耗过高,因此导通压降和关断损耗之间存在有矛盾关系。为了缓解此矛盾,SA-LIGBT结构被提出,但是又存在Snapback现象。
电子科技大学罗小蓉教授课题组提出了一种阳极具有NPN结构的双槽LIGBT新型器件(DT-NPN LIGBT),阳极端具有NPN结构,在正向导通时P型区作为电子势垒层进而增加分布电阻,从而有效抑制Snapback现象,同时在关断时P型区耗尽、N+阳极区收集电子,提高了器件的关断速度;在阴极端采用了双槽结构和载流子存储层,优化了阴极一侧的空穴浓度分布,减小了器件的Von。通过仿真验证,在Von不变的情况下,DT-NPN LIGBT的Eoff和Conv. LIGBT相比下降了55%;保持Eoff相等的条件下,DT-NPN LIGBT的Von比MSA LIGBT减小了38.6%。此外耐压能力提高了7.3%,实现了类似于MOS的击穿模式,并且具有较好的抗闩锁能力。

IGBT是电力电子装备的“CPU”,结合了MOS和BJT两者的优势,具有较好的Von-Eoff折衷关系的LIGBT能够推动新能源汽车、轨道交通、国家电网和航天航空等行业的快速发展。
Chenxia Wang, Jie Wei, Diao Fan, Yang Yang, Xiaorong Luo
J. Semicond. 2020, 41(10): 102402
doi: 10.1088/1674-4926/41/10/102402
9.
植入式医疗设备无线通信与无线供电系统
随着植入式医疗电子器件的发展,植入式医疗设备(implantable medical device ,IMD)在临床上被广泛使用。其中,植入式神经刺激器已被证明对于癫痫、帕金森、疼痛等神经类疾病有较好的治疗效果。与此同时,IMD在实际使用过程中也面临着长期稳定供电、实时有效调控等方面问题的困扰。
IMD在临床应用时,需要长期稳定地的供能,而使用一次性电池会受到电池容量和使用寿命的限制,需要定期进行外科手术更换电池,这将会给患者带来巨大的痛苦甚至生命危险。上世纪七八十年代,Wen H.Ko和N.de N.Donaldson等人率先提出了将无线供电技术(wireless power transfer, WPT)应用于为IMD供能的想法并进行了相关实验,但早期的磁感应耦合无线供电方式(magnetically-coupled inductive wireless power transfer, MCI-WPT),适用于近距离、中大功率的应用场合,并不适用于IMD。麻省理工学院的Marin Soljacic教授在2007年提出了磁耦合谐振的无线供电方式(magnetically-coupled resonant wireless power transfer,MCR-WPT),提高了无线供电的供电效率和有效距离,为IMD的供能开辟了一条新的渠道。MCR-WPT是利用线圈间耦合谐振的原理建立能量传输通道,将能量高效地从发射端传递到接收端,近年来,MCR-WPT技术已被广泛应用于IMD。另外,在实际临床应用时,由于植入接收线圈与体外发射线圈间相对位置会随患者移动而发生改变,接收功率也会随之改变,因此,需要一个闭环控制系统来稳定接收功率。目前,各类IMD一般通过调制能量载波的方式传输数据,形成闭环调节系统,从而在外部环境变化时稳定接收功率并设定工作参数。部分学者采用负载键控调制(LSK)调制方式是通过调制能量载波再经由线圈耦合传输数据,当线圈耦合程度较弱或线圈间耦合程度动态变化时,这种通信方式显然不可靠。通过脉冲幅度调制(PAM)进行无线通信,传输大量数据时,PAM调制需要很长的关断时间,这将会影响到IMD的正常供电。
合肥工业大学张章教授团队在传统MCR-WPT技术的基础上,提出了应用于植入式脑神经刺激器的可穿戴四线圈无线通信与无线供电系统,系统通过外加无线模块实现数据的无线双向传输,采用树莓派(RPi)作为系统的控制中枢,加入功率调节模块来稳定接收功率,此外,还在PC端设计了用户图形界面(Graphical User Interface,GUI),通过WIFI与树莓派相连,使用户可以在GUI上实时更改设置刺激参数、监控供电系统运行状态。
如图1所示,整个系统主要由以下几个模块组成,GUI、功率调节模块以及四线圈耦合谐振网络。逆E类功率放大器将直流功率调控模块提供的直流功率转变为1MHz的交流功率,传输到发送线圈,再经由四线圈网络传输到接收端。RPi作为系统的控制中枢,无线通信模块中集成的ADC采集接收端的电压值Vx并打包为第一数据包发送至体外的RPi,RPi依据Vx来调控供给功放的直流功率。此外,RPi还以WIFI通信方式与PC连接,将第一数据包发送到PC端并显示在GUI上供用户监测,同时GUI会将用户调节工作参数的数据打包为第二数据包,发送至RPi,再经过无线通信装置传输至体内的刺激器。

图1.无线通信与无线供电系统结构图。
与传统的磁耦合共振无线功率传输技术相比,该系统实现了一系列的创新。在传统的二线圈谐振结构的基础上,设计了一种可穿戴的四线圈PSSP谐振结构,当传输距离和发射线圈和接收线圈的偏转角增加时,有效地提高了系统的PTE性能。这项工作还可以有效地实现闭环实时控制,并完成线圈之间的无线功率传输和无线通信。闭环结构实时调整输出电压以确保电压值的稳定性,PC终端通过无线通信实时控制激励参数。无线通信设备使数据传输更加可靠,即使系统的传输距离增加,四线圈谐振结构也可以保持良好的效率。
植入式医疗设备无线通信与无线供电系统的目前研究仅仅局限于无线能量传输和无线通信功能,传输后的数据信息如何具体实施到人体内还需要后续更深入的研究。对于癫痫、帕金森、疼痛等神经类疾病来说,主要的病症原因在于人体内电学信号的异常工作。将本文中的植入式医疗设备无线通信与无线供电系统应用于神经类疾病治疗,既可以通过无线能量传输方式实现供电,减少由于更换电池带来的外科手术风险,而且与医疗设备结合以后,通过参考正常人体电学信号参数,有效地利用人为控制信号,完成无线通信功能实现对体内神经刺激器的信号调节,改变电学信号,达到药物治疗同样的效果甚至优于药物治疗,避免药物治疗带来的副作用。
Wireless communication and wireless power transfer system for implantable medical device
Zhang Zhang, Chao Chen, Tairan Fei, Hao Xiao, Guangjun Xie, Xin Cheng
J. Semicond. 2020, 41(10): 102403
doi: 10.1088/1674-4926/41/10/102403
10.
一种采用SOI CMOS工艺的0.5-3GHz SP4T改进型体端自偏置射频开关

图1. 本文所提出的射频开关电路的整体架构。

图2. 本文所提出的射频开关电路的控制器电路示意图。
A 0.5–3.0 GHz SP4T RF switch with improved body self-biasing technique in 130-nm SOI CMOS
Hao Zhang, Qiangsheng Cui, Xu Yan, Jiahui Shi, Fujiang Lin
J. Semicond. 2020, 41(10): 102404
doi: 10.1088/1674-4926/41/10/102404
11.
分别采用LDA和LDA+U对含有d电子体系的CdTe缺陷态对比研究
LAPW 是一种全电子的方法,即同时考虑了芯电子和价电子的相互作用,虽然计算结果很精确,但是对计算机的要求很高,计算量很大,不适合计算多电子体系。而标准的密度泛函理论(LDA/GGA)方法虽然计算速度很快,但忽略了d电子和f电子对基态性质的影响,对于强关联体系计算得到的结果不准确。
基于第一性原理的密度泛函理论,本文以太阳能多晶薄膜 CdTe 中的点缺陷为研究对象,通过采用加U的方法发现,其可以很好地处理含有d 电子或 f 电子的多粒子体系,它不仅解决了标准的密度泛函理论方法在计算中带来的误差问题,同时相对于全电子的LAPW方法计算量也大大降低,可被用来处理含有d电子的多粒子体系问题。

Defect levels in d-electron containing systems: Comparative study of CdTe using LDA and LDA + U
Yuan Yin, Yu Wang, Guangde Chen, Yelong Wu
J. Semicond. 2020, 41(10): 102701
doi: 10.1088/1674-4926/41/10/102701
12.
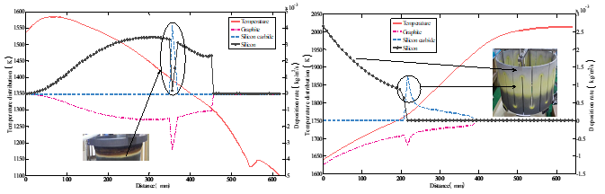
直拉硅单晶热系统氧碳杂质沉积现象抑制研究
硅是最重要的半导体材料,90%的集成电路芯片制作在硅单晶上。随着集成电路技术的迅猛发展,对半导体硅单晶材料提出了更高的要求,其主要为大尺寸(一般直径为 12 英寸及以上)、杂质可控(氧、碳等含量符合要求)、低缺陷(缺陷类型、浓度达标)以及电阻率、机械性能等指标。硅单晶材料品质的优劣对后续IC芯片制程有极大地影响,其中氧、碳等杂质含量决定着半导体硅片的宏观机电性能和微观品质。因此,结合半导体硅单晶生长工艺,从理论与实践的角度,开展硅单晶杂质控制问题的研究有着重要的理论价值和实际意义。本文针对直拉半导体硅单晶生长中的杂质控制问题,讨论在晶体生长过程中,氧、碳等杂质形成机理、演变过程以及控制策略。
基于直拉法的半导体硅单晶生长过程会存在硅晶体的碳污染问题。其原因是晶体生长过程中热系统(石墨加热器以及相关部件)中氧、碳杂质的析出与沉积,在生长过程中,这些杂质会直接或间接地污染电子级多晶硅原料(纯度达到11个9以上)和超纯净的温度生长环境(高温1420±1℃、真空0-3000Pa、多流场、多相变)。同时,附着在热系统部件上的沉积物难以通过加热、擦拭等方法消除,这不仅大幅度降低了热部件的使用寿命,浸蚀处也破环了晶体生长温度分布的均匀性,难以保障晶体稳定的生长工艺,不利于生长出高品质的硅单晶。
西安理工大学刘丁教授课题组长期从事半导体硅单晶生长设备和工艺控制研究,围绕大尺寸电子级硅单晶炉的核心技术与硅单晶生长关键工艺,在理论创新、技术研发、装备制造、工程应用等方面取得了一系列重要的理论和技术成果。在本文中,重点探讨了晶体生长过程中热屏与加热器表面产生的碳刻蚀和硅化物沉积演变过程,研究分析了这一现象产生的原因。直拉硅单晶热系统氧碳杂质沉积现象产生的主要原因在于热系统部件的材料大多为石墨,在高温作用下与生长晶体的石英坩埚发生一系列化学反应,使得熔体自由表面形成SiO气体。SiO气体随硅单晶生长炉内氩气传输路径流经热系统部件,并与热系统的石墨部件产生化学反应形成了CO气体和SiC沉积。经过理论研究和实验验证,表明热系统中石墨加热器和石墨热屏上的SiC颗粒沉积最为严重,并且与热系统中的氩气流向、流速以及物质沉积速率密切相关。数值模拟与工程实验的结果,解释了硅晶体中碳原子含量增高的原因。随着硅单晶尺寸的增大,需要投入更多的高纯度多晶硅原料,以及替换更大直径的石英坩埚用来生长硅单晶,也就意味着热系统中SiO、CO气体含量增加,进一步加剧了这一现象的产生,导致热系统中产生大量的SiC沉积。在经历几十个小时的晶体生长过程中,一部分CO又被输送回熔体表面,经过化学反应分解成为碳和氧原子进入了硅熔体中,导致硅料中的氧、碳杂质含量升高,影响硅单晶生长品质。热系统中热屏表面、加热器内侧的温度、硅和硅化合物的沉积以及石墨碳的刻蚀分布如图1所示。

图1. 热屏表面(左)、加热器内侧(右)的温度、硅和硅化合物的沉积
以及石墨碳的刻蚀分布。
同时,本研究还给出了减少晶体生长过程中的碳污染的方法,其基本思路是在直拉硅单晶生长过程中控制碳传输的产生、结合和累积,从而达到较少和抑制热系统氧碳杂质沉积现象发生的目的。文中讨论了不同炉压下热屏上刻蚀与沉积情况以及不同流速下炉内的刻蚀与沉积情况,提出了通过改善晶体生长热区结构,优化晶体生长气体流速和炉压参数,研究和表征热屏及加热器表面化学反应的方法。同时通过优化晶体生长炉体结构,在加热器能耗和寿命间寻求平衡,使其在寿命最大利用率下能够实现节能绿色运行,为大尺寸电子级硅单晶生长热系统设计提供参考方向,优化结果如图2所示。

图2. 优化前后导流筒盖板结构变化。
本研究通过模型预测化学沉积反应的发生,将预测的模拟结果与实验结果进行了匹配验证。在晶体生长工艺前期的工作基础上,分析了杂质形成及传输现象的成因,通过改善直拉硅单晶热系统结构,优化晶体生长气体流速和炉压参数来研究热屏及加热器表面化学反应的变化。减压工艺是将熔体液面蒸发出的SiO气体通过氩气流带离炉内,减少SiO气体与石墨元器件反应的机会,它的特点在于通过调节炉压、氩气流量等来控制气体杂质的蒸发,从而可以控制炉内蒸发物的沉积与飘落。本研究给了在优化了的热区结构中通过调整气体流速、炉压等参数不仅降低了碳的刻蚀速率,同时有效地抑制了CO的产生和反向扩散,有效抑制了碳的消耗,减少晶体中碳的污染,如图3所示。这种针对热系统结构上的优化方法给未来热系统设计、控制杂质含量提供了新思路。

图3. 优化前后导流筒温度分布及物质沉积速率。
超导磁场是生长高品质半导体硅单晶的必备条件,在工艺过程中通过洛伦磁力的作用,抑制硅熔体流动进而达到控制硅晶体中的氧、碳杂质含量的目的。研究超导磁场环境下的半导体硅晶体生长工艺等课题将是未来的一个重要研究方向。本文的研究内容在一定程度上为此工作的开展奠定了基础。
Jing Zhang, Ding Liu, Yani Pan
J. Semicond. 2020, 41(10): 102702
doi: 10.1088/1674-4926/41/10/102702
13.
SiC MOSFET反向续流应用的新结构研究
宽禁带半导体碳化硅(SiC)材料是第三代半导体的典型代表之一,具有宽带隙、高饱和电子漂移速度、高临界击穿电场、高热导率等突出优点,能满足下一代电力电子装备对功率器件更大功率、更小体积和更恶劣条件下工作的需求,正逐步应用于电动汽车、太阳能发电、列车牵引设备、高压直流输电设备的功率电子系统领域。与传统硅功率器件相比,目前已实用化的SiC功率模块可降功耗50%以上,从而减少甚至取消冷却系统,大幅度降低系统体积和重量,因此SiC功率器件也被誉为带动“新能源革命”的“绿色能源”器件。
功率金属氧化物半导体场效应晶体管(Metal-Oxide-Semiconductor-Field-Effect-Transistor, MOSFET)在高速大功率领域中被广泛使用。在传统桥式整流器电路中,SiC MOSFET常常反并联一个肖特基势垒二极管(Schottky barrier diode, SBD)用于反向续流,从而避免双极退化效应。然而,外部并联的SBD不可避免地增加了封装成本和杂散电感,从而使得器件开关特性退化。因此,在SiC MOSFET体内集成SBD来改善反向导通特性和开关特性备受关注。
电子科技大学张波、罗小蓉教授团队多年来致力于功率半导体器件的研究,近年来集中于探索SiC功率器件新结构的研究。在国家自然科学基金重点项目、国家科技重大专项子课题和国家重点研发计划资助下,课题组成功设计和研制出1200V/10A-1700V/5A功率MOSFET器件,均获得优良的电学特性。最近,罗小蓉教授提出了一种集成肖特基势垒二极管的槽栅SiC MOSFET(S-TMOS),器件结构如图1所示。结构的主要特征在于集成了一个肖特基结用于反向续流,P型保护区和肖特基金属与源极相连。MOSFET正向导通时,肖特基结处于反偏状态,正向电流全部流经沟道;反向续流时,由于肖特基二极管的开启电压小于PN结 (P-Body/N-Drfit 结)二极管,因此集成的肖特基二极管先于体二极管导通,电流流经肖特基结,续流损耗和反向恢复损耗因此大大降低。仿真结果表明,该结构较传统结构相比,反向导通电压和反向恢复电荷分别降低了44%和82%。
在电力电子占据了全球总市场高份额的今天,功耗的降低显得尤为重要。本文给出了SiC功率MOSFET器件在反向续流应用中的一种新结构设计思路,这对于进一步实现器件低功耗设计与应用具有重要意义。

图1. S-TMOS结构图。
4H-SiC trench MOSFET with an integrated Schottky barrier diode and L-shapedP+ shielding region
Xiaorong Luo, Ke Zhang, Xu Song, Jian Fang, Fei Yang, Bo Zhang
J. Semicond. 2020, 41(10): 102801
doi: 10.1088/1674-4926/41/10/102801
14.
β-Ga2O3 HEMT中深能级缺陷陷阱导致的电流崩塌及恢复时间的研究
印度National Institute of Technology Silchar的T. R. Lenka教授等研究了β-Ga2O3高电子迁移率晶体管(HEMT)的漏极电流瞬态特性,以了解由深能级陷阱和界面陷阱的动态填充及去填充引起的电流崩塌和恢复时间。在由铁(Fe)掺杂的β-Ga2O3衬底和锗(Ge)掺杂的β-Ga2O3外延层引起的栅漏电极上1 ms的应力下,测得稳态漏极电流值的恢复时间分别为10分钟和1小时。由于铁(Fe)掺杂的β-Ga2O3体单晶中存在广泛报道的、在EC-0.78 eV、-0.75 eV上方的缺陷陷阱EC-0.82 eV,通态电流滞后更加严重。在后一种情况下,由于在EC-0.98 eV处的陷阱能级,观察到的电流衰减量可忽略不计。实验发现在栅极和栅极-源极区域下,离子陷阱密度的占用率变化很大。通过使用适当的速度和电荷传输模型的2D器件仿真,对β-Ga2O3 HEMT中的可逆电流崩塌现象进行了研究,并评估了恢复时间。本文可以进一步帮助正确表征β-Ga2O3器件以了解暂时和永久的器件退化。

图1. 分析装置结构的横截面示意图。
Investigation of current collapse and recovery time due to deep level defect traps in β-Ga2O3 HEMT
R. Singh, T. R. Lenka, R. T. Velpula, B. Jain, H. Q. T. Bui, H. P. T. Nguyen
J. Semicond. 2020, 41(10): 102802
doi: 10.1088/1674-4926/41/10/102802
《半导体学报》简介:
《半导体学报》是中国科学院主管、中国电子学会和中国科学院半导体研究所主办的学术刊物,1980年创刊,首任主编是王守武院士,黄昆先生撰写了创刊号首篇论文,2009年改为全英文月刊Journal of Semiconductors(简称JOS),同年开始与IOPP英国物理学会出版社合作向全球发行。现任主编是中科院副院长、国科大校长李树深院士。
2016年,JOS被ESCI收录。
2019年,JOS入选“中国科技期刊卓越行动计划”。
“中国半导体十大研究进展”推荐与评选工作简介:
《半导体学报》在创刊四十年之际,启动实施 “中国半导体年度十大研究进展”的推荐和评选工作,记录我国半导体科学与技术研究领域的标志性成果。以我国科研院所、高校和企业等机构为第一署名单位,本年度公开发表的半导体领域研究成果均可参与评选。请推荐人或自荐人将研究成果的PDF文件发送至《半导体学报》电子邮箱:jos@semi.ac.cn,并附简要推荐理由。被推荐人须提供500字左右工作简介,阐述研究成果的学术价值和应用前景。年度十大研究进展将由评审专家委员会从候选推荐成果中投票产生,并于下一年度春节前公布。
JOSarXiv预发布平台简介:
半导体科技发展迅猛,科技论文产出数量逐年增加。JOSarXiv致力于为国内外半导体领域科研人员提供中英文科技论文免费发布和获取的平台,保障优秀科研成果首发权的认定,促进更大范围的学术交流。JOSarXiv由《半导体学报》主编李树深院士倡导建立,编辑部负责运行和管理,是国内外第一个专属半导体科技领域的论文预发布平台,提供预印本论文存缴、检索、发布和交流共享服务。
JOSarXiv于2020年1月1日正式上线(http://arxiv.jos.ac.cn/),通过《半导体学报》官网(http://www.jos.ac.cn/)亦可访问。敬请关注和投稿!

半导体学报公众号
微信号 : JournalOfSemicond
长按关注获得更多信
